International Journal of Coronaviruses

International Journal of Coronaviruses

International Journal of Coronaviruses

Current Issue Volume No: 1 Issue No: 3

Research Article Open Access Available online freely Peer Reviewed Citation

A quick Look at the Registered Cases of Covid-19 Throughout the World

Article Type: Research Article

1Fundación Instituto de Estudios Avanzados IDEA, Hoyo de la Puerta, Baruta, Venezuela

2Department of Electrical and Computer Engineering, University of Iowa, Iowa City, IA, USA

Abstract

The present work analyzes the registered cases of Covid-19 throughout the world according the data registered at Johns Hopkins University. We selected 15 countries to analyze their data. In alphabetical order the countries are: Argentina, Australia, Brazil, Chile, China, Colombia, Germany, India, Italy, Mexico, Peru, Portugal, Spain, United States and Venezuela. With this information, three different studies were carried out. First, the data was validated using Benford's Law which is based on forensic techniques that allow us to guarantee the integrity of the information. Later, we calculated the value of the basic reproduction number (R0), ie., the number of secondary host infections caused by one primary host infection that helps us to determine if a country has an outbreak of Covid-19. Finally, we show that the best representation for the change in the number of cases in the time is to calculate the mantissa value, ie., the floating number obtained from the logarithm of the data.

Author Contributions
Received 23 Jun 2020; Accepted 07 Jul 2020; Published 13 Jul 2020;

Academic Editor: Sasho Stoleski, Institute of Occupational Health of R. Macedonia, WHO CC and Ga2len CC, Macedonia.

Checked for plagiarism: Yes

Review by: Single-blind

Copyright ©  2020 Raul Isea, et al.

License
Creative Commons License     This is an open-access article distributed under the terms of the Creative Commons Attribution License, which permits unrestricted use, distribution, and reproduction in any medium, provided the original author and source are credited.

Competing interests

The authors have declared that no competing interests exist.

Citation:

Raul Isea, Karl E Lonngren (2020) A quick Look at the Registered Cases of Covid-19 Throughout the World. International Journal of Coronaviruses - 1(3):16-21. https://doi.org/10.14302/issn.2692-1537.ijcv-20-3453

Download as RIS, BibTeX, Text (Include abstract )

DOI 10.14302/issn.2692-1537.ijcv-20-3453

Introduction

The World Health Organization (WHO) decreed on March 11, 2020 that a new pandemic caused by a new virus first detected in the Wuhan market in China the was caused by a new coronavirus (Covid-19), which was named according to the International Committee of Taxonomy of Virus as Severe Acute Respiratory Syndrome (SARS-CoV-2).

Until June 3, more than six million cases have been registered throughout the world that is distributed in more than 190 countries and causing more than 380,000 recorded deaths according to the records John Hopkins University records. As a result of all this data, it has been possible to determine, for example, the credibility of the information according to a recent paper published by Isea 1 where he analyzed 23 countries using the Benford Law. It is interesting to comment that approximately a third of the countries do not satisfy this validation procedure criterion. It is necessary to wait until the end of the epidemic in order to confirm these results 1.

On the other hand, a large number of mathematical models have appeared in the scientific literature that could explain the transmission dynamics of the Covid-19 virus but they depend on a large number of variables which must be continuously adjusted according to the new data 2, 3, 4, 5, 6. Therefore, it is necessary to use another type of methodology that allows us to know in real time if a certain country has an epidemic outbreak. To do that, it is necessary to calculate the Basic Reproduction Number (R0) that mean the number of new infections that can be generated from one infected person. If the value of R0> 1 implies that this country has an epidemic and a value of R0<1 implies that the country has overcome the crisis due to this disease.

Finally, it is necessary to makea new graphic to see the changes of Covid-19’s infection in each country. To do that, we calculate the mantissa values of the register of cases according to details provided in the following section Therefore, the goal of this paper is to determine: (1) the veracity of the data based on Benford’s Law in the following countries in alphabetical order: Argentina, Australia, Brazil, Chile, China, Colombia, Germany, India, Italy, Mexico, Peru, Portugal, Spain, United States and Venezuela. (2) Calculate the value of R0 to determine whether an epidemic outbreak is occurring in a country, and (3)Present the values of the mantissa values for the various countries, ie., China, Italy, Portugal, Spain, United States, Venezuela and World.

Methodology

On June 3, 2020, all cases of Covid-19 infections were obtained from the Johns Hopkins University database in the listed countries. Subsequently, the validity of the data was determined using two digital data analysis techniques based on Benford's Law, according to the procedure recently published by Isea 1 which specifies a new critical parameter based on the p-value, which said that is p-value must be greater than 0.05, then the information has received no manipulation or alteration.

The next step was to determine the value of the Basic Reproduction Number (R0) according to the works published by Isea and Lonngren 7, 8 which is based on the methodology developed by Wallinga and Lipsitch 9. It is necessary to calculate a function called the generation time (mGT) which is the lag time between infection in a primary case and a secondary case. This function before forwards n can only be logarithmic, gamma and weibull, and these definitions are explained in 10.

Finally, the mantissa value is obtained according to the following expression:



where log10 is the logarithm in base 10 of each cases obtained up to Jun 3, 2020, and “Int” is the whole part of this number.

Results and Discussions

(Table 1) shows the results obtained after validating the results using Benford's Law. Remember that the values of χ2 and L2 should be close to zero in order to guarantee the integrity of the data and the calculated values of the p-value must be greater than 0.05. From the results shown in Table 1, Australia and China are the countries that best satisfy Benford's Law and therefore, these two countries appear to not manipulate the provided information. Brazil, Colombia, India, Peru, Portugal and Venezuela satisfy two of the tests proposed in this paper and therefore do not alter the data. It is interesting to note that Colombia passes both tests but the value of χ2 is higher than the other countries.

Table 1. Number of Covid-19 case records in 15 countries that have been analyzed in this paper. The others parameters indicated in this table has been explained in the reference 1.
Country χ 2 p- value 2 ) p- value ( arc mantissa ) L 2
China 2,3991 0,9663 0,4131 0,0063
Australia 6,2668 0,6174 0,0669 0,0289
Venezuela 8,5768 0,3792 0,4845 0,0110
Colombia 13,2410 0,1038 0,1052 0,0265
Brasil 7,2605 0,5088 0,1637 0,0203
Peru 10,1920 0,2518 0,0810 0,0292
Chile 36,2620 10-5 0,0015 0,0711
Mexico 13,7910 0,0874 0,0304 0,0397
USA 67,1250 10-4 10-10 0,1976
Spain 14,5880 0,0677 0,0109 0,0481
Portugal 6,6784 0,5717 0,3982 0,0101
Italy 18,7460 0,0163 0,0006 0,0717
Germany 11,9940 0,1515 0,0334 0,0347
India 10,2410 0,2485 0,1532 0,0204
Argentina 21,9220 0,0051 0,0002 0,1017

On the other hand, Germany, Mexico and Spain meet one of the two tests so these countries do not appear to have manipulated their data either. However, Argentina, Chile, Italy and the United States appear to not pass these tests and therefore, there is no guarantee of the validity of the information. However, it is necessary to wait until the end of the pandemic to confirm these preliminary results.

The next step is to calculate the value of R0, it means, the number of new infections that can be generated from one infected person, obtained with the methodology proposed by Isea and Lonngren 7, 8, where values ​​greater than 1 indicate that this country is undergoing an epidemic. These results using these criteria are shown in Table 2. Australia and China are the countries with the lowest R0 value. Therefore, there does not appear to be an epidemic outbreak in these two countries while Germany, Italy and Spain have values just below 1 which theoretically implies that there is no emergency for enduring this disease, but it is necessary checking these results to known when these countries can generated an outbreaks. The remaining countries are presently undergoing Covid-19 epidemics (R0> 1).

Table 2. Calculated values ​​of R0 according to of number of dates, and the rest of parameters are explained in the reference 10.
Country No dates Function Median SD R 0
Chin 156 Lognormal 0,1946 5,2571 0,9365±0,1666
Australia 97 Lognormal 0,1237 0,3108 0,9675±0,0739
Venezuela 81 Weibull 0,2196 0,2750 1,0829±0,1276
Colombia 85 Gamma 0,2420 0,2711 1,0713±0,0792
Brasil 91 Gamma 0,1944 0,2821 1,0888±0,0994
Peru 87 Gamma 0,2308 0,3322 1,0778±0,0864
Chile 91 Gamma 0,2183 0,3024 1,0882±0,0905
Mexico 88 Gamma 0,2842 0,3800 1,0780±0,0758
USA 104 Gamma 0,3774 0,5184 1,0295±0,0406
Spain 92 Gamma 0,2706 0,3224 0,9902±0,0455
Portugal 92 Weilbull 0,2414 0,2282 1,0012±0,0483
Italy 95 Weibull 0,3448 0,3087 0,9897±0,0341
Germany 98 Gamma 0,2977 0,3416 0,9895±0,0402
India 93 Gamma 0,2533 0,3840 1,0877±0,0838
Argentina 89 Gamma 0,2612 0,2963 1,0692±0,0725

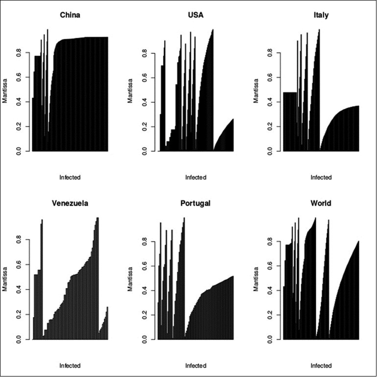
Finally, in the Figure 1 shows the results of the mantissa values in the following countries: China, Italy, Portugal, United States, Venezuela and World. When the country does not present an outbreak, the mantissa values are constant in time (see China results). However, the results obtained in the United States and Venezuela show that they have not reached the maximum of cases of Covid-19, while Italy is almost free of this pandemic. Finally, the results obtained in the World shows that has not reached the equilibrium during this time. These results are according to the Ro’s values obtained in the previous step.

Figure 1.The results of the mantissa values in the following countries: China, Italy, Portugal, United States, Venezuela and World.
 The results of the mantissa values in the following countries: China, Italy, Portugal, United States, Venezuela and World.

Conclusions

This paper analyzes the data recorded for Covid-19 throughout the world. With this information, it is possible to verify which countries are currently experiencing a new coronavirus (Covid-19) epidemic according to the R0 value, and also the known countries which countries do not manipulate the data. Finally, it was possible to know if a country presents an outbreak according to the mantissa result, but it is necessary to do more investigations in the future.

References

  1. 1.Isea R. (2020) How valid are the reported cases of people infected with Covid-19 in the worlds?International. , Journal of Coronavirus 1(2), 53.
  1. 2.Isea R. (2020) La dinámica de transmisión del Covid-2019 desde una perspectiva matemática. Revista Observador del. , Conocimiento 5(1), 15.
  1. 3.Yang C, Wang J. (2020) A mathematical model for the novel coronavirus epidemic in Wuhan. , China. Mathematics Biosciences and Engineering 17(3), 2708.
  1. 4.Li Q, Guan X, Wu P, Wang X, Zhou L et al. (2020) Early transmission dynamics in Wuhan, China of novel coronavirus-infected pneumonia,N Engl J Med.2020:.
  1. 5.Tang B, Wang X, Li Q, N L Bragazzi, Tang S et al. (2020) Estimation of the transmission risk of the 2019-nCoV and its implication for publichealting intervantions. , J.of Clinical Medicine 9, 62.
  1. 6.Zhao S, Lin Q, Ran J, S, Yang G et al. (2020) Preliminary estimation of the basis reproduction number of novel coronavirus (2019-nCoV) in China from(2019 to 2020).A data-driven analysis in the early phase of the outbreak. , Int. J. Infect, Dis 2020, 1.
  1. 7.Isea R, Lonngren K E. (2018) Toward an early warning system for Dengue, Malaria and Zika in Venezuela. , Acta Scientific Microbiology 1(3), 30.
  1. 8.Isea R, Lonngren K E. (2017) Proposal for an early warning system against an AH1N1 Influenza pandemic in America. , Adv. Research Journal of Medicine and Medical Science 1(2), 1.
  1. 9.Wallinga J y Lipsith, M. (2007) How generation intervals shape the relationship between growth rates and reproductive. , numbers.Proceedings of the Royal Society B: Biological Science 274, 599.
  1. 10.Obadia R, Haneel R, Boëlle P Y. (2012) The R0package: a toolbox to estimateproduction numbers for epidemic outbreaks. BMC Medical Informatics and Decision Making.12:. 147.

Cited by (12)

This article has been cited by 12 scholarly works according to:

OpenAlex 6 citations Crossref 6 citations Semantic Scholar 6 citations

Citing Articles:

3.Analysis of Covid-19 Using A Modified SEIR Model To Understand The Cases Registered in Singapore, Spain, And Venezuela
R. Isea, R. Mayo-García - Journal of Model Based Research (2022) Semantic Scholar
7.What Could Represent the Mantissa of the Registered Covid-19 Cases?
International Journal of Coronaviruses (2022) OpenAlex
8.What Could Represent the Mantissa of the Registered Covid-19 Cases?
International Journal of Coronaviruses (2022) Crossref
9.What Could Represent the Mantissa of the Registered Covid-19 Cases?
R. Isea - International Journal of Coronaviruses (2022) Semantic Scholar
10.A New Graph to Display the Epidemic Outbreaks of Covid-19 in the World
International Journal of Coronaviruses (2020) OpenAlex
11.A New Graph to Display the Epidemic Outbreaks of Covid-19 in the World
International Journal of Coronaviruses (2020) Crossref
16.Dynamics of Infections and Number of Vaccines Needed to Avoid Covid-19 in Europe
International Journal of Coronaviruses (2020) OpenAlex
17.Dynamics of Infections and Number of Vaccines Needed to Avoid Covid-19 in Europe
International Journal of Coronaviruses (2020) Crossref
18.Dynamics of Infections and Number of Vaccines Needed to Avoid Covid-19 in Europe
R. Isea, R. Mayo-García - (2020) Semantic Scholar